涉及436个产品!广东联盟要求再次查看报名信息
发布时间:2025-01-15 17:12:32 阅读量:1022
作者:医药慧 来源:医药慧
核心提示:昨日,广东省药品交易中心发布关于再次查看广东联盟金莲花胶囊等中成药集中带量采购报名产品相关信息的通知。
昨日,广东省药品交易中心发布关于再次查看广东联盟金莲花胶囊等中成药集中带量采购报名产品相关信息的通知。
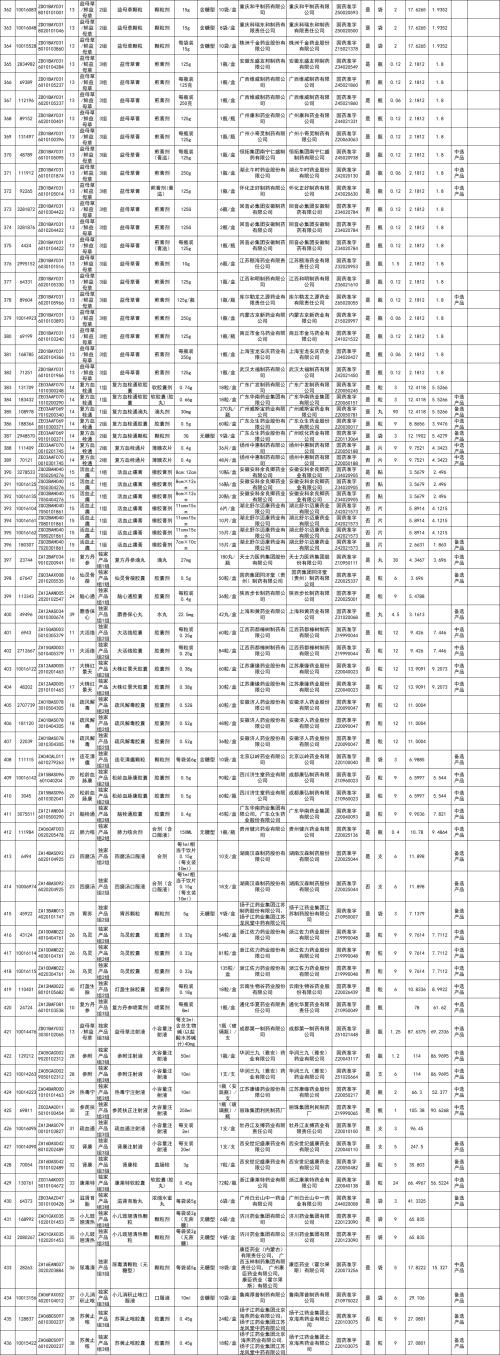
根据梳理,符合申报条件报名产品共计436个,涉及金莲花颗粒、金莲花口服液等68个品种和云南白药集团股份有限公司等200多家生产企业。其中,100个产品为上一轮集采中选产品,42个产品为上一轮集采备选产品。(详见附件)
值得注意的是,这些符号申报条件报名产品中,有5个产品属于“《采购文件》第二部分第三条第(四)项所列情形之一”的企业,分别是:广西白云山盈康药业有限公司的橘红痰咳颗粒;广州白云山星群(药业)股份有限公司的橘红痰咳颗粒;葵花药业集团(襄阳)隆中有限公司的小儿咳喘灵颗粒;葵花药业集团(伊春)有限公司的小儿咳喘灵颗粒;葵花药业集团重庆小葵花儿童制药有限公司的小儿咳喘灵口服液。
《通知》要求相关企业在查看时间内使用CA证书登录广东省招采子系统,通过“药品集中采购管理-药品集中采购-公示价格信息-价格公示-广东联盟金莲花胶囊等中成药集中带量采购项目”查看相关价格信息。
此外,《通知》还明确,如对查看信息有异议的,请相关企业在2025年1月15日17:30时前使用CA证书登录省平台药品交易系统,通过“信息复核/反馈管理-其他信息复核/反馈(药品)”填写反馈内容,并按照要求上传药品信息复核反馈表及相关证明材料,反馈材料须逐页加盖企业公章;如未在规定查看时间内递交反馈材料的,视为无异议,相应后果由企业自行承担。
具体查看要求详见《广东省药品交易中心关于查看广东联盟金莲花胶囊等中成药集中带量采购报名产品相关信息的通知》。
附件.符合申报条件报名产品相关信息表



